• tel 全国服务热线:

    88888888098   88888888828

二维码
产品展示
热点资讯
您现在所在的位置 : 首页 > 产品展示 > 荥蝶排蝶阀 >
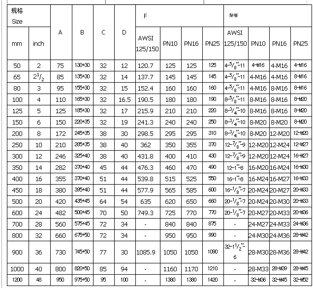
  • 产品名称:气动式对夹蝶阀

  • 产品标题:气动,式,对,夹,蝶阀,蝶阀,主要,外形,连接,

  • 咨询电话: 88888888098
产品详情
上一篇:气动伸缩蝶阀
88888888098